殺生石の由来
この地に伝わる伝説では、平安時代末期ごろの七十四代鳥羽天皇・上皇の御代(1107~1156)の話である。インド、中国(宋王朝)を荒し回っていた妖怪九尾の狐が日本に渡来、「玉藻の前」という美女に化身し、鳥羽帝の寵愛を受けるようになりました。鳥羽帝の命を奪い日本を我が物にしようとした玉藻の前は、陰陽師阿部康成によってその正体を見破られ、白面金毛の九尾の狐の姿となって、この地・那須野が原へ逃げ込んだという。
これを知った朝廷は上野介(上総介)広常(千葉広常)、三浦介義純(三浦義澄)の両名に命じ九尾の狐を退治させました。狐は死んで巨石となり、その怨念は毒気となって近づくや家畜、鳥獣をも殺し続けた。室町時代になってこれを伝え聞いた曹洞宗名僧・源翁心昭和尚(玄能心昭)はこの地を訪れ、石に済度教化を受け持っていた杖で一括すると、巨石は三つに割れ一つは会津へ、一つは備後へと飛んで行き、残った一つがこの殺生石であると今も語り継がれています。温泉神社境内には「九尾稲荷神社」も祀られています。
ちなみに、金槌の大型のもの、大きいものを玄能と呼びますが、この岩を砕いた玄能禅師の説話に由来しています。
盲蛇石の由来
昔、五左衛門という湯守が長く厳しい冬を越すために山に薪を取りに行きました。その帰り道五左衛門がこの殺生河原で一休みしていると、二メートルを超える大きな蛇に出会いました。おおきな蛇の目は白く濁り盲の蛇でした。かわいそうに思った五左衛門は、これでは冬を越せないだろうと蛇のためにススキと小枝で小屋を作ってあげました。
次の年、蛇のことを忘れなかった五左衛門は、湯殿開きの日に小屋に来て蛇を探しました。しかし、蛇の姿はどこにもなく、かわりにキラキラと輝く湯の花がそこにありました。盲目の蛇に対する暖かい気持ちが神に通じ、湯の花の作り方を教えてくれたのです。
その後、湯の花の作り方は村中に広まり、村人は盲目の蛇に対する感謝の気持ちを忘れず、蛇の首に似たこの石を盲蛇石と名付け大切にしました。
殺生石と松尾芭蕉
元禄二年(1689)この地を訪れた俳人松尾芭蕉は、紀行文「奥の細道」に次のように記しています。「殺生石は温泉の出づゆ山陰にあり。石の毒気いまだ滅びず、蜂、蝶のたぐひ真砂の色の見えぬほど重なり死す。」この様子から、当時は相当の火山性ガスが発生していたと思われます。また、この地に残した一句があります。「石の香や夏草赤く露あつく」
現在は、ガスの噴出量は少なくなっているものの、硫黄色を残した巨石群と噴気は、往時の雰囲気を漂わせています。芭蕉が「奥の細道」に書きとめた風景は、今なお当時の雰囲気をとどめていることから、平成二十六年に国の名勝として「おくのほそ道風景地」に指定されました。
案内説明より
温泉名: 上諏訪温泉
源泉名: 美翠源泉
泉質: 単純温泉
低張性 弱アルカリ性 高温泉
pH8.24 陽イオン 177.3㎎/㎏ 陰イオン 383.6㎎/㎏
成分総計 657㎎/㎏
源泉温度: 60.8℃
湧出量: 52L/min
湧出形態: 掘削動力揚湯
注入排出形態: 加水 循環ろ過 塩素系薬剤消毒
効能: 関節のこわばり 変形性関節症 腰痛 神経痛 五十肩 うちみ
ねんざ 冷え性 痔症 病後回復 疲労回復 自律神経症 不眠症
利用料: 大人 1000円 小人 600円
利用時間: 11.00~16.00
休日: 無休
上諏訪温泉 しんゆ
長野県諏訪市湖岸通り2-6-30 Tel: 0299-54-2020
姉妹館 蓼科温泉郷 ホテル親湯
温泉名: 蓼科温泉
源泉名: 信玄隠し湯
泉質: 単純温泉
低張性 弱酸性 低温泉
pH4.00
源泉温度: 26.1℃
湧出量: 91L/min
湧出形態: 湧出
注入排出形態: 加水 加温 循環ろ過 塩素系薬剤消毒
効能: 関節のこわばり 変形性関節症 腰痛 神経痛 五十肩 うちみ
ねんざ 冷え性 痔症 病後回復 疲労回復 自律神経症 不眠症
利用料: 大人 1000円 小人 600円 ホームページ閲覧で割引あり
利用時間: 11.00~16.00
休日: 毎週火曜日
蓼科温泉郷 ホテル親湯
長野県茅野市北山蓼科高原4035 Tel:0266-67-2020
草津山光泉寺
光泉寺は、白根明神の別当寺として正治二年(1200)に草津領主湯本氏が再建したと言い伝えられている。光泉寺僧職は鎌倉幕府から地頭職を賜い、寺領として白根庄の領有を許されていた真言密教の寺院である。鎌倉幕府滅亡後は南朝に仕え、僧兵を率いて合戦におもむいている。南朝の重臣らはこぞって白根大明神に神礼を奉納している。護良親王、新田義貞、楠正成、名和長年、北畠親房、等々である。
南朝衰特微ののち北朝に仕えた。文明十三年(1481)、近衛道興の斡施によって「勅願寺」となって、後花園天皇の勅額、柏原天皇の震翰を賜っている。また、宗祇、宗長、近衛龍山らの草津湯治の宿所でもあった。戦国時代、光泉寺僧職草津氏は猿ヶ京合戦に参戦、功労により上杉輝虎(上杉謙信)から感状を賜っている。
湯浴み弁才天
養老年間(717~724)行基菩薩はこの地にたち、眼下に光る泉を見出し、それがただの泉でなく万病にきく温泉であることを喜び、薬師如来をまつり光泉寺を開く。以来泉は人々の病をいやす慈悲の泉となり、今日の草津温泉の源となった。この池はそれにちなみ「慈悲の泉」となづけられ、名湯草津温泉に浴し、身も心も清浄になった喜びと感謝の姿をあらわす、湯浴み弁財天をおまつりした。金光明最勝王経に弁天様は、音楽、弁論、財宝、知恵の徳を司り、古くから庶民の信仰篤く、霊験いともあらたかです。
釈迦堂
釈迦堂は元禄十六年、江戸の医師・外嶋玄賀という人の発願によって建立されたことが、光泉寺の寺宝「日月堂縁起」に記されていて、元禄時代の様式を残している県内でも珍しい建造物です。本尊は奈良東大寺の公慶上人の作で、元禄の大仏修造の際、大仏内腹の骨木で二体の釈迦如来像を造り、大仏修造に貢献した玄賀にその一体を贈ったものです。玄賀は夢に、「藁屋二間四面の宝形堂に安置せよ」との仏のお告げを見て、草津温泉入湯の折、この地に釈迦堂を建立し安置したものである。
また、元禄時代東大寺公慶上人作と伝えられていた釈迦如来像は、平成十七年の調査によりその事が事実であると証明されました。以来三百年を経て世に出た仏様であることから、「遅咲き如来」として地域の人々に改めて信仰されております。今まであまり花を咲かせられなかった方々、これからもう一花咲かせたいと願っている皆様、是非ご参拝し、その願いをかなえて頂きますよう祈念申し上げます。
小林一茶句碑
小林一茶(1763~1827)は、文化・文政期に江戸で活躍した俳人。晩年は郷里・信濃国水内郡柏原村「これがまあ 終の棲家か 雪五尺」で過ごした。草津の俳人・黒岩鷺白と親交があり、両三度草津を訪れている。
その内解っているのは、寛政三年(1791)と文化五年(1808)で、文化五年の時は、江戸から草津までの四泊五日の旅を「草津道の記」と題する文章で綴っている。「湯けむりに ふすぼりもせぬ 月の貌」はこの「草津道の記」に記された句である。なお、小林一茶が草津によせた心持を現代の俳人・金子兜太が碑の裏面に見事に解説しています。
案内説明より

温泉神社から見た荒ぶる殺生石原
殺生石
2022/3/15日 縦の亀裂から割れて二つの石に 復元するとどうなる?
露天風呂
偕楽園
偕楽園は金沢・兼六園、岡山・後楽園と並ぶ「日本三名園」の一つで天保十三年(1842)、水戸藩第九代藩主・徳川斉昭によって造園さてました。千波湖に臨む七面山を切り開き、領内の民と偕(共)に楽しむ場にしたいとの願いから「後楽園と名付けました。園内には約百品種に及ぶ約三千本の梅木が植えられ、早春には観梅の人々で賑わいます。
偕楽園は梅の外四季折々の見どころが多々あり、春には桜、初夏には深紅のキリシマツツジ、真夏には緑鮮やかな孟宗竹や杉林、秋には萩の花やもみじ等が見事です。これらの草花や花木を通して眼下に千波湖を望む景観は絶景の一言です。また、偕楽園の眼下に拡張した新しい公園は、梅を中心とした田鶴鳴(たづなき)、猩々(しょうじょう)、窈窕(ようちょう)の梅林、芝生広場の四季の彩り、水鳥たちが遊ぶ月池などが点在し、広大な風景を感じながらゆったりと歩く事が出来ます。
徳川斉昭公は偕楽園の構想を自ら行い創設したもので、特に好文亭については斉昭公がその位置や建設意匠を定めたと云われています。造園計画は斉昭公が藩主になってから四年後、初めて水戸に来た(水戸德川家は江戸常勤・江戸常府)天保四年(1833)に考えられましたが、この年大飢饉の為に計画は進みませんでした。翌五年にはその準備段階として神崎の地(水戸市)に数多くの梅樹を植えさせていますが、まだこの頃は具体的な園の構成が出来上がっていたわけではありませんでした。
天保十二年(1841)四月から造園工事に取り掛かり、翌十三年七月一日に完工開園となり、同年七月二十七日公開されました。武士以外の入園については、はじめは神官、修験・僧侶等の宗教関係者に限られていましたが、次第に庶民一般にも及んでいきました。しかし、他国(水戸領以外)の者の入園は許されていませんでした。
偕楽園の由来及び好文亭に関する事などについては「偕楽園記」に記されていますが、これは天保七年(1836)に草案が出来ていたのを天保十年になって斉昭公の自選自書で出来上がったものです。
偕楽園の名称は、中国の古典である『孟子』の「古の人は民と偕(とも)に楽しむ、故に能く楽しむなり」という一節からとったもので、「偕楽園記」では是れ余(斉昭)が衆と楽しみを同じくするの意なり」と述べています。
茨城県立都市公園偕楽園説明文より転載
菁莪遺徳碑
この碑は十五代将軍・徳川慶喜公のブレーン・原市之進の顕彰碑である。市之進は文政十三年(1830一月六日)、水戸藩士・原雅言の次男として生まれる。藤田東湖とは従兄弟の関係であった。元治元年(1864)、御三卿一ツ橋家の用人となり、一橋慶喜に仕えた。慶喜が德川宗家を継ぎ十五代将軍になると原一之進も幕臣として取り立てられた。慶応三年(1867)兵庫開港を計ったという理由で幕臣に斬殺される。 享年三十八
篆額(篆字の題字)は水戸第十一代藩主・徳川昭武公で、「菁莪遺徳碑」の菁莪は一之進の号及び経営した塾の名である。碑文は昌平黌(江戸湯島昌平坂学問所)の同学の旧仙台藩士・岡千仭、揮毫は九州の書家・吉田晩稼である。
明治三十年建立された。
案内説明より
十間廊
古くは「神原廊」と呼ばれ、中世まで諏訪祭政の行われた政庁の場で、すべての貢物はこの廊上で大祝の実見に供された。毎年四月十五日の「酉の祭」には鹿の頭七十五が供えられたが、これらの鹿の中には必ず耳の裂けた鹿が入っていることから諏訪の七不思議の一つに数えられていた上段に大祝の座、次に家老、奉行、五官の座があり、下座に御頭郷役人などの座も定められ、左手の「高神子屋」で演ぜられる舞を見ながら宴をはったと伝えられる。
内御玉殿
諏訪明神の祖霊がやどると云われる御神寶が安置されていた御殿である。「諏訪明神に神体なく大祝をもって神体となす」と云われたように諸神事にあたってこの内御玉殿の扉を開かせ、弥栄の鈴をもち真澄の鏡をかけ馬具をたづさえて現れる大祝はまさに神格をそなえた現身の諏訪明神そのものであった。現在の社殿は昭和七年改築されたものであるが、以前の社殿は天正十三年(1585)に造営された上社関係では最古の建造物であった。
諏訪照雲頼重の供養塔
この地は、もと「大祝様御屋敷地」と言われた神殿に近く、明治初年に五輪塔及び多宝塔等の石造物残欠が多数出土し、付近住民によって私有地の一角に保存されてきた。当時は五輪塔火部に「照雲」との名が判読できたという伝承があり、中世前期の形式をそなえた貴重な歴史的遺物である。照雲とは上社大祝を務めた三河入道頼重のことで『太平記』にも名をとどめ、建武二年(1335)七月十四日に北條氏再興をはかってこの地で決起し、北條時行(鎌倉最後の執権高時の遺児・亀壽丸」を擁立して「中先代の乱」を戦い鎌倉を占拠した信濃勢の総大将であった。しかし、足利勢の大軍に敗退し、同年八月十九日、遂に勝長壽院大御堂にて壮絶な自害をして果てたと記録されている。近年これら石造物も風化損傷がひどくなり地元保存会が補修整備を行ったものである。
御室社
中世までは諏訪郡内の諸郷の奉仕によって半地下式の土室が造られ、現人神の大祝や神長官以下の神官が参篭し、蛇形の御体と称する大小のミシヤグジ神とともに「穴巣始」といって、冬ごもりをした遺跡地である。旧暦十二月二十二日に「御室入り」をして、翌年三月中旬寅日に御室が撤去されるまで、土室の中で神秘な祭祀が続行されたと伝わる。諏訪信仰の中では特殊神事として重要視されていたが、中世以降は惜しくも廃絶した。
若御子社
諏訪明神と崇められる建御名方命の御子達を合祀していると云われる社です。諏訪大社関係には、極めて優れた古記録、文書が多いが、その中で最も名高い文書に「諏訪大明神画詞」がある。室町時代にあらわされたこの文書の中に正月一日、大祝以下の神官氏人はみな衣服をただしてまずこの若宮すなわち若御子社を荒玉社と共に参詣したとある。現在は諏訪神社の末社となっいる。
くね(土へんに郭)の跡
土を盛り上げ築いた土塁を諏訪では「くね」と称した。この「くね」を廻らすのは中世の豪族邸宅に多く見られ、ここ大祝の居住する神殿もまたこの「くね」を周囲に廻らしていた。かってはもっと高く大きなものであったと思われるが現在は崩れたり道路敷となって断続した小丘になってしまっている。明治時代までは松の大樹がそびえて往時の面影を残していたと云う。
旧上社大祝の居館・神殿跡
中世までは諏訪上社の祭政を統括し、諏訪明神たる現人神であった大祝の居館があり、「ごうどの」と呼ばれていた。この神殿を中心に髙神殿・中部屋・酒倉・馬屋などがあり、さらに内御玉殿・十間廊など、前宮にとって重要な建物があって神事の行われた処で、この一帯を神原(ごうばら)ともいった。しかし文明十五年(1483)の同族内輪争いによって、この地の聖域が汚されたとして衰退していった。
案内説明より
駆動用ジーゼルエンジン (マルチプル機関)
八甲田丸は一台が1600馬力の中速ディーゼル機関を四台ずつ一組にして、左舷と右舷に配置し左右それぞれ一本ずつのプロペラ(スクリュー)を回していました。青函連絡船は船底部に設けられた機関室の上部に鉄道車両を格納するための大きな空間を備えなければなりませんでした。しかも船の安定性を考えてできるだけ重心を低くする必要がありました。
このため八甲田丸などの連絡船は、大型の高出力機関と同等の出力を八台の中型機関に分割して機関室の高さを低く抑えていました。このような機関配置をマルチブル・ギヤード・ディーゼル方式と言います。一台1600馬力の機関を八台備えていた八甲田丸の出力は12800馬力がありました。
流体減速装置 (フルカンギヤー)
八甲田丸の機関が生み出す最大12800馬力の動力を油の流れる力を借りてスムースにプロペラに伝えるための装置です。向かい合った機関につながる羽根車とプロペラ軸につながる羽根車との間に油を出し入れして回転を断ったりつないだりできるようになっており、機関からの高速回転を和らげる働きももっています。
原動機と発電機
安全で正確な運航が求められた青函連絡船には、自動航行装置をはじめとした数々の自動制御装置が取り入れられていました。これらを正しく働かせるために欠かせないものは電気です。八甲田丸には主発電機(700KVA)三台をはじめ、主軸駆動発電機(900KVA)一台、さらに、補助発電機(70KVA)が備わり、機関・通信・照明などの船内装置に電流を送っていました。また、予備の非常電源装置も備わっていましたが、これらすべては、ディーゼル発動機で駆動されていました。
案内説明より

頭を出した岩木山

のっけ丼その2
青森魚採センター のっけ丼



津軽三味線の漫談師


和風大浴場
和風露天風呂

高台にあるホテルグランメール
鰺ヶ沢温泉
ホテルグランメール山海荘 HOTEL GRANDMER SANKAISO
青函連絡船八甲田丸記念艦
生島足島神社 ikusimatarusimajinjya
温泉街 湯泉神社
真言宗豊山派 草津山光泉寺 群馬県吾妻郡草津町草津442-1
五浦温泉 五浦観光ホテル本館 izuraonsen-idurakankohotel-honkan
龍神大吊り橋 偕楽園
湯瀬温泉 湯瀬ホテル yuzeonsen yuzehotel

摂社・諏訪神社
温泉名: 草津温泉
源泉名: 草津温泉白旗源泉(湯畑源泉)
泉質: 酸性・含硫黄ーアルミニウム・カルシウムー硫酸塩・塩化物泉
低張性 酸性 高温泉
pH2.1 陽イオン 267㎎/㎏ 陰イオン 1167㎎/㎏
成分総計 1760㎎/㎏
源泉温度: 50.8℃
湧出量: 測定せず 湧出形態: 自然湧出
注入排出形態: 掛け流し
効能: 神経痛・筋肉痛・関節痛・五十肩・うちみ・くじき・関節のこわばり
運動麻痺 疲労回復・冷え性・健康増進・慢性消化器病・痔疾
健康増進
慢性皮膚病・慢性婦人病・糖尿病・きりきず・高血圧・動脈硬化症
草津温泉山本館 群馬県吾妻郡草津町草津404 Tel 0279-88-3244
利用料: 1000円
利用時間: 11.30~15.00
休日: 無休(問い合わせ)
草津温泉奈良屋 群馬県吾妻郡草津町草津396 Tel 0279-88-2311
利用料: 1200円 タオル付
利用時間: 12.30~14.00
休日: 無休(問い合わせ)
湯畑前から賽の河原通り入ったすぐに並んで両旅館はある。場所がら両旅館とも湯畑源泉を利用している。源泉掛け流しに最も適する湯船の大きさと注湯量は建物と同時に老舗旅館の風格がある。大人数で草津に来るときはどうしても収容人数の多いホテルになっていたが、この趣はプールの様な浴槽にはないものである。
生島足島神社・摂社諏訪神社本殿及び門 長野県宝 (平成十四年三月二十八日指定)
本殿は、棟札から慶長十五年(1610)に上田藩初代藩主・真田信之の寄進により再建されたことがあきらかになっている。また、棟札には本殿の部材を一木からすべて作った事、大工棟梁が宮坂勘四郎であった事なども記されている。本殿全体の形式は、正面の柱間が二・八メートルの規模の一間社流造で、屋根は銅板葺(元杮葺き)である。社殿の細部は全体に彩色を施している。現在の塗装は昭和十六年の塗り替えによるものであるが、当初からこのような塗装(朱漆塗り、胡粉塗など)がされていたと考えられている。
この本殿は、全体の建ちが高く、軽快な感じのする点が特徴である。向拝の頭貫上部にある蟇股(表側に竜、背面に雲を彫る)、扉の上方にある蟇股(雲、麒麟)に立体的で精巧な彫刻が施されている点、脇障子の上部に熨斗結びの透かし彫りを入れている点など、この時代に中央で盛んになった桃山様式を表現している。
なお、本殿手前にある門も本殿と同時期の建築と考えられている。門は、当初は内部に床を張った諏訪系の神社に見られる「御門屋」の形式をとっていたことが痕跡から確認でき、この形式の門としては県内で一番古いものである。本殿・門ともに県内の桃山様式を伝える貴重な建築である。
案内説明より
磐梯熱海駅の由来
この地を「熱海」と名付けたのは、源頼朝の武将であった工藤祐経の二男・伊藤祐長(安積祐長)です。頼朝亡き後、二代源頼家の遺児と北条氏との覇権争い(泉親衡の乱)に於いて北条方に組した祐長は、恩賞として陸奥国安積郡を賜わった。任地に赴いた伊藤祐長は名を安積祐長と名乗るようになりました。
安積祐長は故郷である伊豆国と同じ地名を領内各地に名付け、温泉の湧く此の地に海が無いながらも「熱海」としました。またこの地に上伊豆島、下伊豆島などの地名が残っているのもその当時の事に起因します。また、昔々、都の公家の娘・萩姫が不治の病に苦しんでいたところ「京を去る東山道陸奥国に鴨川から数えて五百本目の川岸に霊泉あり」と云う不動明王の夢のお告げがあり、この地を訪れたと伝えられています。温泉街を流れる五百川は、京都から数えて五百本目の川だと云います。
この地名の由来を受けて、明治三十一年(1898)七月二十六日、岩越鉄道(岩代~越後 現在の磐越西線)が開通した時は「熱海駅」として開業しました。国鉄に移管後に東海道本線・熱海駅との重複を避けて「岩代熱海駅」となり、更に昭和四十年(1965)磐梯地方観光の入口として「磐梯熱海駅」に改称しました。
案内説明より

船尾 車両積載鉄路
洞爺丸事故までは隔壁が無かった
青函連絡船 羊蹄丸の座席
この展示品は青函連絡船・羊蹄丸のグリーン船室にあった自由席用の座席です。国鉄車両のグリーン車同様、赤い布地のリクライニングシートになっています。青函連絡船では、鉄道車両とは違った広々とした空間でゆったりとした時間を過ごす事が出来ましたが、特に豪華な赤い座席の並ぶグリーン船室は別格のものでした。
当時の国鉄車両のグリーン車の座席は、指定席と自由席では差はありませんでしたが、青函連絡船のグリーン指定席は、自由席よりも一段と広い座席間隔となり、しかも一人掛けでした。グリーン指定席の座席は、八甲田丸のの青函連絡船シアターで再利用されておりますので、比べてみてください。
グリーン船室(羊蹄丸) 指定席 九十六名 自由席 二百名 寝台 二十名
普通船室 (羊蹄丸) 定員 九百七十名
グリーン料金 指定席 3600円 自由席 3100円 普通乗船運賃 2000円
案内説明より
青函連絡船八甲田丸記念艦
左・山神社 御祭神・大山祇命
右・神明宮 御祭神・大日霊命
那須温泉の由来
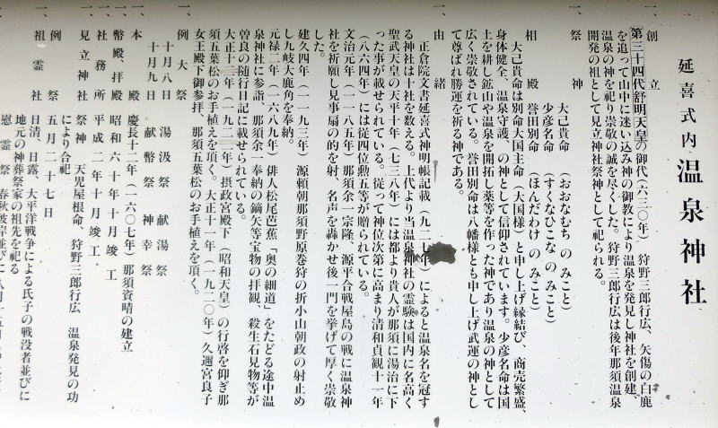
那須温泉の発見は、630年代といわれています。時は三十四代舒明天皇(推古天皇の後帝)の時代の七世紀前半、那須山麓の茗荷沢の住人・狩野三郎行広という者が、ある日狩に出て大きな白鹿にあい、矢を射って傷つけました。逃げ去る白鹿を追って峡谷に至ると、傷を負った白鹿が湧き出る温泉に浸かって、傷を癒しているのを見つけたことが那須温泉の発見と云われ、その後、温泉が開かれ、温泉神社が創建されたと云われています。
738年(天平10年聖武天皇御代)の記録である正倉院文書「駿河國正税帳」の条には、「小野牛養(小野妹子の孫)朝臣が病気療養の為奈良から那須温泉に向かった」とあり、奈良時代から那須温泉が広く知れ渡っていたことがうかがえ、全国数千の温泉の中でも、最も古い温泉と云われています。この鹿の彫刻は、この那須温泉発見の謂れに基づき、大きな白鹿が那須温泉に浸かっているところを表したものです。
那須温泉旅館協同組合 詳しくは温泉と歴史のページ
栃木県那須郡那須町湯本182 Tel: 0287-76-2755
温泉名: 那須湯本温泉
源泉名: 鹿の湯・行人の湯 混合泉
泉質: 単純硫黄泉
低張性 酸性 高温泉
pH2.6 陽イオン 135.9㎎/㎏ 陽イオン 478.3㎎/㎏
メタケイ酸225.5㎎/㎏
成分総計 843.2㎎/㎏
源泉温度: 57.2℃
湧出量: 不明
湧出形態: 自然湧出
注入排出形態: 源泉かけ流し
効能: 神経痛・筋肉痛・五十肩・うちみ・くじき・関節のこわばり
運動麻痺・疲労回復・冷え性・健康増進・慢性消化器病
慢性皮膚病・慢性婦人病・糖尿病・きりきず・高血圧・動脈硬化症
利用料: 大人 400円 土日祭日 500円 小人 300円
利用時間: 8.00~18.00 (入浴受付 17.30まで)
休日: 無休 (補修 改修により休日となる日有り)
湯本温泉 鹿の湯
栃木県那須郡那須町湯本181 Tel: 0287-76-3098
那須湯本温泉 鹿の湯 nasuyumotoonsen-shikanoyu
参照: 温泉その4→那須湯本温泉
諏訪大社 下社秋宮・春宮 上社本宮・前宮 参照: 長野のいろいろ3 信濃一之宮諏訪大社
臨済宗妙心寺派 泰平山 安国禅寺
諏訪大社上社本宮幣殿等六棟 国指定重要文化財(昭和五十八年十二月二十六日指定)
この建築は、天保六年(1835)に上棟式をしており、工匠は上諏訪の住人で、幕府から内匠の称号を許された名匠・二代立川和四郎富昌の作である。拝殿と幣殿をつづけ本殿を設けない諏訪社様式で、安定もよく、彫刻も美しい冨昌の代表作であり、また左片拝殿に見る蟇股から脱化した粟穂に鶉(うずら)の彫刻は写生に徹した冨昌の至芸である。
諏訪大社上社社叢 約11.5ha (長野県天然記念物(昭和三十九年八月二十日指定)
その社叢は落葉樹からなる自然林として多種多様の樹木と多くの美しい植物群落を同一箇所で見られる珍しいもので、亡びつつある中部地方天然落葉樹林の林相の保存されている貴重な樹叢である。クリ・カエデ類・フジキなど木本百六十種、ヤマブキソウ・レンプクソウ・ミヤマイラクサなど、草本四百二十種が生育している。
勅願殿
勅願とは天皇の祈祷と言う意味である。当社の場合この建物は御祈祷を行う場所である。建立は元禄三年(1690)といわれ、建物の配置は諏訪大神の御神霊が宿る守屋山(御神体山)に向かい建てられ、古図には祈祷所と記されている。
弊拝殿が大社の恒例祭典や重要神事を斎行して国家安泰並公事の祈願を執行する場所であるのに対して、勅願殿は個人私事の祈祷を行う場所である。
四脚門及び硯石
四脚門は天正十年(1582)の兵変(織田信長信濃甲斐侵攻?)によって焼失したものを、慶長十三年(1608)徳川家康が時の勘定奉行・佐渡金山奉行大久保長安に命じて建立させてものである。この門はかっては大祝(祭神の子孫であり神を顕現する者)だけが最上段の硯石と呼ばれる磐座へ登って行った門である。硯石とは門前方脇片拝殿の屋根の上に見える石のことで、この石の凹面は常に水を湛えているところからその名が来ている。鎌倉時代の大社の神楽歌に「明神は石の御座所におりたまふ みすふきあげの風のすすみに」とある如く明神の天降り給う場所であり守降しをする古代宗教の最高至極の位置であったと云われている。
案内説明より
臨済宗妙心寺派 泰平山 安国禅寺
師弟之歌碑
歌碑説明板


御魂社





歌舞伎舞台殿
歌舞伎舞台殿
武田信玄公願文 実物大複写
永禄二年九月一日 永禄二年出家信玄と号す
夫婦欅
夫婦欅 枝先


夫婦欅
夫婦欅
株元 洞


諏訪神社御祭神
兄 弟と 弟の妃

上田藩真田家初代真田信之寄進

本殿

拝殿

神池 神島
手水舎
神門
御神木 家族幸せの木
鳥居扁額
東之鳥居
神門前御神木
神門前御神木
神楽殿
神楽殿
西之鳥居
社務所
神橋
御神木
磐座 神境・立ち入り禁止
唐屋根付神橋
社号標
本殿(正殿覆殿)
神池 神島
拝殿




































供養塔 神仏習合名残り
衆議院議員(社会党) 佐藤徳雄顕彰碑
奉納燈籠 明和三丙戌年八月吉日
新旧奉納燈籠
奥の燈籠 天保十五甲辰年二月吉日
熱海温泉碑
文政二年(1819)熱海領主二本松藩城代家老・成田頼直建立
神橋
狛犬
鳥居扁額
社号標
湯泉神社
向拝虹梁の彫刻
拝殿 社号扁額
拝殿
手水舎
境内樹木
石祠 供養塔

奉納燈籠 衆議院議員佐藤徳雄


















熱海のぬる湯
JR磐梯熱海駅
道標















寺務所
寺務所玄関彫刻 中央の彫刻は?
鐘楼
賓頭盧尊者像
本堂扁額
本堂
金剛力士阿形像
金剛力士吽形像
山門
湯浴み弁天堂
奥・位牌堂納骨堂 手前・稲荷社
梵鐘
不動堂
不動堂扁額
不動明王
釈迦堂向拝
釈迦堂扁額
釈迦堂
湯善堂 聖観世音菩薩
湯善堂
光泉寺永代供養墓
歴代住職供養墓
湯泉観世音菩薩
境内 光泉幼稚園
境内樹叢
常夜燈と百八十八番供養塔
安永八己亥年八月吉日銘
小林一茶句碑
小林一茶句碑碑文
湯けむりに ふすぼりもせぬ 月の貌
村越化石句碑
松虫草 今生や師と 吹かれゆく
筆塚
供養奉納佛像
左初代熱湯湯長・・野島小八郎墓碑
右・入浴逝者供養塔


























芭蕉句碑
露天風呂
湯川と湯池
河原高台のおおるりグループホテル
露天風呂
地蔵菩薩立像
齋藤茂吉歌碑
稲荷神社扁額
ベルツ・スクリバ両博士の胸像
縁結び地蔵菩薩
稲荷神社鳥居
社殿
鬼の茶釜碑
西の河原
西の河原
















湯畑
草津温泉バスターミナル
JR長野原草津口駅
湯畑 白旗源泉の湯
前の面影が無いホテル一井










奈良屋 御汲み上げの湯
奈良屋
温泉成分分析表
奈良屋
奈良屋
温泉番付
山本館
山本館









若御子社
諏訪照雲頼重 供養塔
内御玉殿
前宮 拝殿
十間廊 妻側より
十間廊
阿形狛犬 石造
吽形狛犬 石造
鳥居 銅板製
梅園
水戸黄門と梅娘
菁莪遺徳碑
好文亭
好文亭
好文亭 亭外から
芝之庭
釣瓶井戸
芝前門 檜皮葺棟門
芝前門 標札
中門標札
竹林之道
好文亭表門 萱葺薬医門

表門標札
表門
梅園
一之木戸
一之木戸 ?栩葺(大和葺)棟門
偕楽園 御成門
好文亭表門 萱葺薬医門

















トラス構造の桁 長さ446m
モニュメント イメージは龍の子?
駐車場 三月で駐車場は停めやすい
龍神大吊り橋 主塔
橋中央部のバンジー用ロープ
食堂兼土産物店
桁に透明版がはめ込まれている
対岸のアンカー(橋台)面の龍頭
対岸の主塔
バンジー後の吊り上げ人
早春の花
水面
橋下はダム湖














食事の途中
本館 和風庭園
本館 和風庭園
源泉名と泉質名表記の掲示
部屋から見える六角堂 宿泊当日は17時閉館翌日は休館日で残念








鹿教湯温泉 鹿教湯桜館・藤館 ohedo onsenmonogatari
生島足島神社
温泉名: 磐梯熱海温泉
源泉名: 郡山市営 1号、4号、5号、7号源泉混合源泉
泉質: 単純温泉 低張性 アルカリ性 高温泉
pH9.18 陽イオン 120.5㎎/㎏ 陰イオン 203.0㎎/㎏
成分総計 388.0㎎/㎏
源泉温度: 50.4℃
湧出量: 不明
湧出形態: 掘削動力揚湯
注入排出形態: 加温 循環ろ過消毒
効能: 神経痛 筋肉痛 関節痛 五十肩 運動麻痺 関節のこわばり 運動麻痺
うちみ くじき 慢性消化器病 痔疾 冷え性 疲労回復 健康増進
切り傷 やけど
温泉名: 磐梯熱海温泉
源泉名: 磐梯熱海温泉保護組合源泉
泉質: 単純温泉
低張性 アルカリ性 微温泉
pH9.1 陽イオン 82.0㎎/㎏ 陰イオン 176.5㎎/㎏
成分総計 300.9㎎/㎏
源泉温度: 33.1℃
湧出量: 300L/min
湧出形態: 掘削動力揚湯
注入排出形態: 加温 掛け流
効能: 神経痛 筋肉痛 関節痛 五十肩 運動麻痺 関節のこわばり
運動麻痺 うちみ くじき 慢性消化器病 痔疾 冷え性 疲労回復
健康増進
切り傷 やけど
磐梯熱海温泉 紅葉館きらくや
福島県郡山市熱海町熱海4-39 024-984-2130
利用料: 600円 休日: 無休 (問い合わせ)
利用時間: 10.00~17.00 20.00~22.00 (問い合わせ)
磐梯熱海温泉 萩姫の湯永楽館
福島県郡山市熱海町熱海4-47 024-984-2135
利用料: 1000円 休日: 無休 (問い合わせ)
利用時間: 10.00~17.00 (問い合わせ)
那須温泉神社 殺生石側北参道の説明文
左の橋を渡り約160m程行くと、那須温泉神社があり、境内を通る抜けると殺生石駐車場、那須湯本バス停に至ります。
那須温泉神社の歴史は古く、三十四代舒明天皇の御代(奈良朝630年)に創建され、延喜式神名帳にも上撰されている由緒ある神社であります。那須温泉神社は源平合戦において那須与一宗隆が讃岐屋島の戦いで平氏の誘いの扇の的を射る時に「南無八幡大菩薩別しては我が国(上毛国・現栃木県)の神明・日光権現・宇都宮・那須温泉大明神、願わくはあの扇の真ん中を射させ給え」と祈願した神社であります。
那須与一名声を挙げた後、那須氏の崇敬を受け領民こぞって温泉神社を勧請し奉り、現在那須郡内には八十数社の温泉神社又は湯泉神社が祀られております。また、芭蕉句集に「那須の温泉神社の相殿に八幡宮を移し奉り両神一方に拝まれ給う」とあり「湯を結ぶちかいもおなじ岩清水」という句があります。
さざれ石
「君が代は 千代に八千代に さざれ石の 巌となりて 苔のむすまで」この石が国歌に歌われているさざれ石です。悠久の歳月の間に多くの小石が石灰等により凝結したもので、さざれ石は年を経るごとに大きく成長し、巌となると信じられている神霊の宿る石です。石に宿る神聖な力をあらわした石に触れることにより願いが叶うと云われ、誠に目出度い石であります。
水琴窟
水琴窟は手水鉢や蹲踞の排水部に造られた一種の音階装置で、江戸時代中期の考案と伝えられている。地中に埋めた甕の内部で水滴が水面をうつごとに琴を奏でるような音色を発することからこの名が生まれ、日本庭園の音を楽しむ絶妙の芸術として称賛されている。
俳聖芭蕉句碑
元禄二年(1689)四月、芭蕉は奥の細道(陸奥・出羽)をたどる途中殺生石見物を思い立ち、まず当温泉神社に参拝した。その時、同行の門人河合曽良の日記には、温泉大明神の相殿に八幡宮を移し奉る両神一方に拝ざせ玉ふを、翁「湯をむすぶ誓いも同じ岩清水」と詠んだ。この句碑は徳川氏の奥八城太郎弘賢(江戸幕府御家人中奥祐筆・屋代弘賢)の書である。
案内説明より
太田水穂(右歌碑文) 峯村国一(左歌碑文) 師弟の歌碑
望郷
霜に晴れてつばらにみゆる山並みのはるけきかたに雪をもとむる 太田水穂
千曲川
遠く落ちゆく瀬の音を夜々のまくらにおもひつつねむ 峯村国一
向拝
本殿

西の河原公園
草津温泉外の西方にあるので「西の河原」と呼んでいます。昔は「鬼の泉水」といい、今も鬼の茶釜、鬼の相撲場などの名勝があります。河原の至る所から摂氏五十度以上の温泉が湧き出し、その湯量は毎分一万五千リットルに及んでおり、湯の川となって流れています。
公園内には町営の大露天風呂や自然資料館(ビジターセンター)のほかに、日本近代医学の恩人・ベルツ、スクリバ両博士の胸像や、歌人・齋藤茂吉の歌碑などが建っています。四季の風光がすばらしい温泉公園です。
鬼の茶釜
詠み人知らずの狂歌で、西の河原公園を昔は鬼の泉水と云い、訪れる人は稀であったと云う。河原一帯から温泉が湧出しおり、「鬼の茶釜」は代表的な温泉湧出口であった。涌出口は茶釜が沸騰するように異様な音を立てて湯を噴き出し、その湧出口に人が近付くと、足元から音がぴたりと音がと止まり、離れるとまた音が成り出す不思議な湧出口として怖がられ、誰いうとなく「鬼の茶釜」の名で呼ばれるようになった。この付近には他に「鬼の盥」もあったと伝わっている。
穴守稲荷神社御砂の由来
当稲荷神社の御祭神・豊受姫命(宇迦之御魂命)を大神と仰ぎ、御神徳により創始され、崇められてきた。古来より我々の生活には土(砂)の上より活動が始まり、衣・食・住を司り、諸々の生産の恵みを受け国土安穏と農耕の富を興し給うた。大神の御加護により自然土(砂)を散布し、家運繁栄の神福を授かりますよう修祓を行い、隆昌を願うものである。
ベルツ博士・スクリバ博士
明治時代、東京帝国大学(現東京大学)に「内科にベルツ、外科にスクリバあり」といわれて、日本近代医学の基礎を築いたのが両博士です。両博士は無二の親友で、共に草津温泉を科学的に研究し、その医学的効能を世界に知らしめ、またスクリバ博士は、町民に無料で診察を施し、町民からは深く親しまれていました。この胸像は、東京帝国大学構内の両博士の胸像が、戦時中供出される時コンクリートで複製(ベルツ記念館に展示)したもので、戦後草津町に贈られたものを、平成四年(1992)五月に姉妹都市締結記念事業にて立て替えられたものです。
齋藤茂吉歌碑
齋藤茂吉(1882~1953)山形県南村山郡金瓶村(現・上山市)に生まれる。ドイツに留学、長崎医学専門学校(現・長崎大学)教授、東京・青山脳医病院(現・東京都立小児総合医療センター)院長。アララギ派の歌人で、最初の歌集「赤光」は近代短歌に衝撃的な影響を与えた。現代歌人の最高峰と評価され、文化勲章を受賞した。戦後郷里山形県に籠ったが、晩年の歌集「白き山」はその頂点に聳える作品と云われている。
草津温泉には昭和八年九月十六日に輝子夫人とともに訪れ、望雲館に二泊されている。その時の日記の余白ページには、宿から白根山を見たスケッチが残されている。
ベルツ先生記念碑 (草津町指定文化財)
ベルツ博士(エルヴィン・フォン・ベルツ 1849~1913)の顕彰碑である。ベルツ博士はドイツの医学者で、東京帝国大学医学部の教授として、明治九年(1876)に来日。滞日三十年に及び、我が国近代医学の基礎をきずかれた。
明治十一年(1878)に草津温泉を訪れてから、草津温泉の優れた効能と環境に魅せられ、草津を愛し、特に高温入浴法の「時間湯」は博士の温泉研究の貴重なテーマとなりました。博士は国内外の学会に驚くべき「時間湯」の治療効果を発表されました。この碑は博士の業績を記念するために昭和十年に建立されました。
水原秋桜子句碑
ベルツ博士博士の顕彰碑の傍に立つこの句碑は、俳人・水原秋桜子が博士の胸像にそそぐ秋日和の清々しさは博士の心にふれているようだと、草津町の恩人ベルツ博士の遺徳を称えて詠んだものである。句碑は水原秋桜子の友人であり、ベルツ博士に徳に縁の深い石橋長英日本国際医学会名誉会長により寄贈されたもので、昭和五十七年十月二十一日、ベルツ博士の生誕地であるビーティッヒハイム・ピッシンゲン市と草津町の姉妹都市締結二十周年記念祭の折、建立序幕されました。
芭蕉句碑
山なかや 菊は手折らぬ 湯の匂ひ
芭蕉が「奥の細道」の旅の途次、加賀の山中温泉で詠んだ名句で、山中温泉と並ぶ名湯草津温泉の効能を称えたものと思われます。明和末年(1770)頃、是非庵という人の建立と伝えられています。芭蕉翁が眠る義仲寺の「諸国翁墳記」に、この句碑が記録されており、群馬県内に在る芭蕉句碑のなかで八番目に古いものです。碑の裏面には、芭蕉に桃青の号を贈った江戸深川臨川寺の佛頂禅師が芭蕉の句境の高さを讃えた詩句が刻まれています。通称 「温泉塚」と呼ばれています。
案内説明より


上諏訪温泉 しんゆ 墓参りと車入れ替え安全祈願諏訪大社
那須湯本温泉 鹿の湯 温泉神社と殺生石・那須ロープウェイ
ホテルグランメール山海荘 青函連絡船八甲田丸記念艦 福島原発考
湯瀬温泉 湯瀬ホテル 五浦観光ホテル本館 龍神大吊り橋 水戸偕楽園
草津温泉立ち寄り湯 磐梯熱海温泉
鹿教湯温泉 鹿教湯桜館・藤館(大江戸温泉物語) 生島足島神社


武田信玄公願文の詳細説明 正式には武田徳盈軒信玄











授与所

東
正面
西
山門山号扁額
参道石段 本尊薬師如来幟
手水舎



渓流
湯池
子育地蔵菩薩
廓の跡
旧上社大祝の居館・神殿跡
2016年9月9日のコスモス
大吊り橋近くでそばを喰らう
蕎麦処「やまいち」 まいうー
祭は過ぎたが
内風呂


洋風大浴場
歌舞伎舞台復元修復工事記念木札
信玄配下武将の起請文説明板


洋風露天風呂


温泉成分分析書


夕食





神島境内社 十三社・社殿



子安社
十三社


朝食

古文書(複写)展示
歌舞伎舞台 廻り装置


神島境内社 子安社・社殿


新旧の車両
成分分析書
諏訪湖の景観
大浴場 畳敷き
半露天風呂
御歳代御仮殿
御仮殿 祭神
八幡神社鳥居



鳥居社号扁額
拝殿
八幡社 本殿




八幡社 御祭神
秋葉社
秋葉社 御祭神



下社 秋宮
神池
神橋
境内参道



神楽殿と銅製狛犬
幣殿・拝殿

秋宮一之御柱
秋宮二之御柱
御神木
御神体は拝殿奥の一位の古木

さざれ石
社務所・御朱印授与所
下社 春宮







万治の石仏
南無阿弥陀仏
万治三年十一月一日
願主
明誉浄光心誉廣春
御神木
御神体は拝殿奥の杉の古木
万治の石仏説明文
神楽殿
弊拝殿
上社 本宮










宝物殿 右奥参集殿
勅願殿

参集殿祈祷待合処
本宮 弊拝殿 修復完了
斎庭
神饌所
上社本宮 一之御柱
上社本宮 樹叢と四之御柱
一之御柱 引き摺り痕
樹間の御柱
四脚門と両側寶殿 修復完了
上社 前宮













岩木山













寺号石標
総門 楼門形式四脚門
梵鐘
本堂
本堂 寺号扁額
各種 供養石塔
山門 薬医門
庫裡
皇大神宮社
皇大神宮社 奉納絵馬





入湯受付
湯本温泉 鹿の湯
温泉成分分析書
駐車場 満車
公園の白鹿










北参道 鳥居

御神木

さざれ石



愛宕神社 御神水
愛宕神社参道石段
愛宕神社



祖霊社参道
祖霊社 祭神・祖先の御霊
祖霊社 殉国慰霊之碑

参道 奉納燈籠
狛犬 吽形玉取り獅子
狛犬 阿形子取り獅子


琴平神社 御祭神・大物主命


九尾稲荷神社鳥居・参道
稲荷神社 御祭神・倉稲魂命
女神・荼枳尼天



とちぎ名木百選・那須五葉松
樹齢800年 幹周り170㎝ 樹高12m
摂政宮(昭和天皇)御手植えの松
大正十二年八月
車両御祓所




水琴窟 金属皿に水を流します
出前の石を取り水鉢から汲みます
手水舎
拝殿
本殿
社務所
二之鳥居
三之鳥居
神社境内 芭蕉句碑
殺生石












立秋を過ぎて
教傳地蔵
殺生石
国指定名勝記念碑
芭蕉の陰刻があるが関係ないらしい
芭蕉句碑は他所に建立されている
賽の河原 千躰地蔵菩薩
賽の河原
賽の河原
盲蛇石
ミヤマクマザサの群生












八甲田丸と同じ埠頭
海上保安庁(Japan Coast Guard)第二管区巡視船(青森) PM23おいらせ
甲板から青森ベイブリッジと
青森観光物産館・アスバム
八甲田丸 船首
船尾
ネームプレート八甲田丸 TOKYO
HAKKODA MARRU TOKYO
船首甲板
左舷甲板
右舷甲板
地上部列車積載装置
列車積載可動ドック
可動ドック調整装置



羊蹄丸グリーン自由席
八甲田丸グリーン指定席
グリーン席手元ライト




















変圧配電操作パネル
発電機
発電機駆動ディーゼルエンジン
機関駆動中央操作パネル
駆動ディーゼルエンジン
駆動ディーゼルエンジン
駆動機関
コンクリートで固めた鉄路
見学通路安全第一
固定用連結器
固定用連結器
操舵室
二段ベット
船長室
会議 応接室
事務長室
甲板へ
寝台室談話テーブル
展示車両
展示車両













ロープの結び方
可変プロペラ角度
列車積載口解放船
列車積載口閉鎖船
青森戦後の自由市場の様子展示 玉子屋・八百屋・りんご屋と左下ヤミ物資買い出し
連絡船の模型
蒸気機関車模型
爺丸海難者慰霊碑
青函連絡船洞爺丸海難慰霊碑建立趣意書 碑文
昭和二十九年九月二十六日、台風十五号が津軽海峡を吹き荒れた。本州と北海道との唯一の交通機関の青函連絡船は、洞爺丸をはじめ五隻が沈没している。千数百名の乗客が親兄弟の名を呼びつつ海底に・・・・
犠牲者と肉親の悲しみを思うと断腸の思いです。青函船舶鉄道管理局が函館市に置かれている為、函館市には函館山入口と北斗市七重浜に慰霊碑があるも、当時の死亡者のうち青森県人二百四十名を数えました。
年移り日替り今海底には青函トンネルが竣工し、昭和六十三年三月開業を迎えた。
ここに海底トンネル工事関連殉職者と併せ、津軽海峡の見える三内霊園に慰霊の碑を建立する。
昭和六十三年七月三日建立 青森市 新藤 扶瑳次
八甲田丸メモリアル展示写真と案内説明より













夕食 バイキング
ホテル眼下の米代川
朝食
一夜明けて雪化粧の庭園
ホテル外観
分析書
内湯大浴場
露天風呂